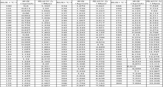
一张图认识常见宝玉石密度参考表(建议收藏) 78157815密度是
玉石的密度是多少各种玉石的密度表
和田玉之正解硬度与密度
各种玉石的密度是多少
玉石密度.jpg
密度指单位体积的质量
密度仪|鉴定玉石神器|如何鉴定翡翠?万物密度仪
150种宝石密度表,莫氏硬度表
珠宝玉石专业知识精品系列连载3
求一份宝石相对密度表
各种玉石的密度表大全:图片,图表一览
一种普遍适用的来鉴别玉石真假的方式方法——测密度
刘雨昕登青年文摘杂志
午夜抽烟男人图片
阿拉善南寺
红旗美术馆代理画家一一郑瑰玺先生花鸟画作品欣赏!
定制北欧式相框ps相框6寸7寸8寸木纹色摆台相框画框批发定做
不要欺负老实人
《七人魔法使》剧场版公布新预告和声优_魔王
生物质颗粒燃料蒸汽锅炉 图片_高清大图 - 阿里巴巴
五竹_庆余年五竹绘画作品
《宝莲灯》演员现状,三圣母朴诗妍整容认不出,焦恩俊老态明显
看起来很干净的优质女生头像图片
军嫂张馨予向女兵们致敬,称赞她们巾帼不让须眉_爷爷_何捷_家庭