玉石的密度是多少各种玉石的密度表
玉石密度.jpg
玉石密度对照表
密度指单位体积的质量
密度仪|鉴定玉石神器|如何鉴定翡翠?万物密度仪
社科 哲学/历史 中国古代玉器(一)ppt 中国传统玉石和常见宝石硬度表
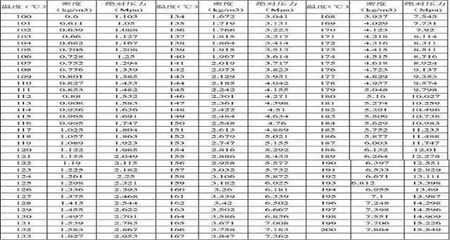
主要宝玉石参数
怎样自测玉石密度判断真伪?
珠宝玉石和田玉的密度表 翻出来了很久之前的学习资料.
珠宝玉石专业知识精品系列连载3
求一份宝石相对密度表
除法口诀表(二年级下册) 除法口诀表(二年级下册)
天啸:女老师假装结婚,让兵哥死心,不料兵哥早就看穿:跟他离婚
> 唯美绚丽极光高清壁纸图片大全(1920×1200)
书柜国内宜家代购利克书架褐色玻璃简约北欧书架
第五人格:雕刻家技能及形态的详细说明,远距离控场能力太夸张
守望先锋1最后一晚的#最佳#-genji
常见金银花品种介绍
蔬菜乐队创意儿童画
演员傅程鹏成名后抛妻弃子净身出户娶周丽淇前妻红了他糊了
城南花已开简谱视唱第1页
中国油画赞母爱平凡中的伟大太美了
聚范领带/领结 聚范礼盒装 领带男士正装商务8cm韩版黑色条纹新郎结婚