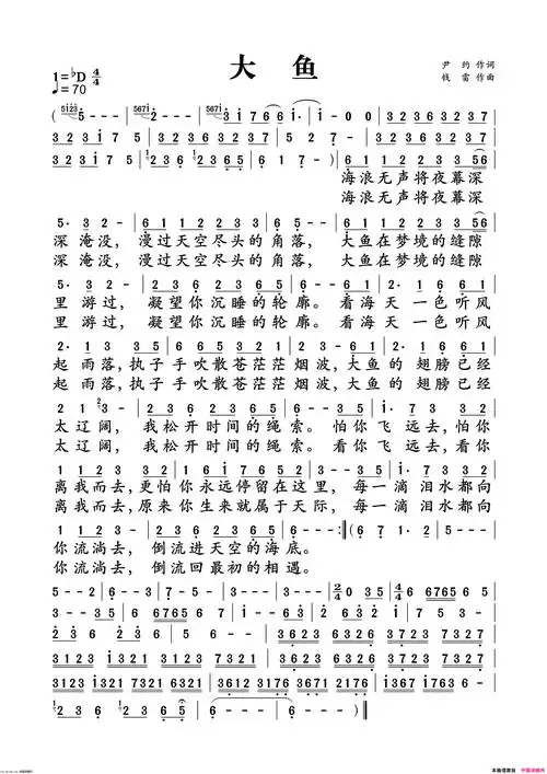
大鱼(电影《大鱼海棠》印象曲) 周深 歌谱简谱网
半音阶练习1—《大鱼》升c调 - 抖音
大鱼大鱼海棠智能简谱动画电影大鱼海棠印象曲
大鱼简谱-周深演唱1
谁想要大鱼简谱
大鱼(《大鱼海棠》动画电影印象曲)简谱-周深演唱-春雾秋云制作曲谱
大鱼简谱
大鱼简谱(歌词)_周深演唱_天之韵记谱
大鱼(《大鱼海棠》动画电影印象曲) 周深 歌谱简谱网
《大鱼》简谱
互联微信封面图夏季水果设计图片
在此刻(三字歌谱)1
乡村的风格田园风格装修效果图
麝香保心丸的功效与作用它的价格多少钱
15张以前流行的恐怖习俗"死人摆拍"真实照片
42岁陈数新造型出席活动,短发搭配休闲look时尚减龄,红唇更抢镜
童年回忆
48岁丧偶女征婚照片(id:83749433)_河南洛阳征婚交友_珍爱网
倪妮性感壁纸79
7100简笔画可爱的小房子
首发一枝梅花迎春来
在一个冬天的日子和雪的村庄