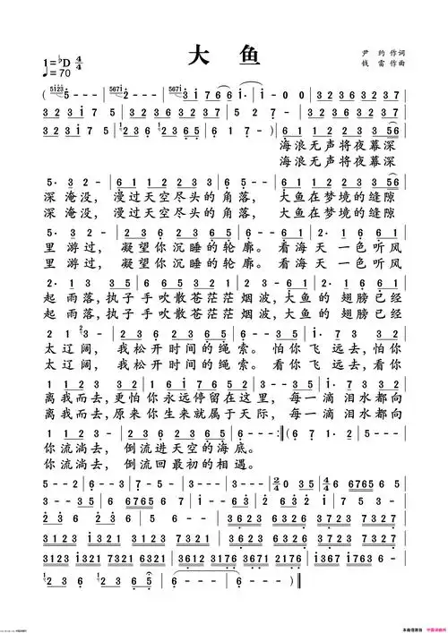
大鱼简谱 周深 动画电影大鱼海棠印象曲1
大鱼简谱(歌词)-周深演唱-《大鱼海棠》动画电影印象曲1
大鱼大鱼海棠半音阶口琴谱动漫歌曲谱acg谱
大鱼大鱼海棠智能简谱动画电影大鱼海棠印象曲
谁想要大鱼简谱
大鱼(《大鱼海棠》动画电影印象曲)简谱-周深演唱-春雾秋云制作曲谱
大鱼简谱
《大鱼》简谱动听 双手简谱
《大鱼》简谱
大鱼简谱 周深 动画电影大鱼海棠印象曲2
布偶猫
《守望先锋》黑百合高清桌面壁纸
为什么佛家要说作狮子吼
忧郁壁纸文字消失的瞬间是对一个人的思念
美国原装进口之宝zippo打火机1941铜军机徽章贴章空军高档礼品
矢量鱼矢量城市矢量孙悟空紧箍咒矢量素材pngai卡通矢量孙悟空pngai
喜婆婆婚宴装参加结婚礼服妈妈母亲年轻款丈母娘高贵高端婚礼洋气
赵露思才是"避嫌高手"!和丁禹兮靠着坐,手放的位置引全网点赞
来一波励志可爱锁屏壁纸
水晶原石
有没有那种看起来舒服又显成熟男生用的壁纸锁屏
个人博客网页模板 psd格式网页设计模板 pompeii - 素材兔