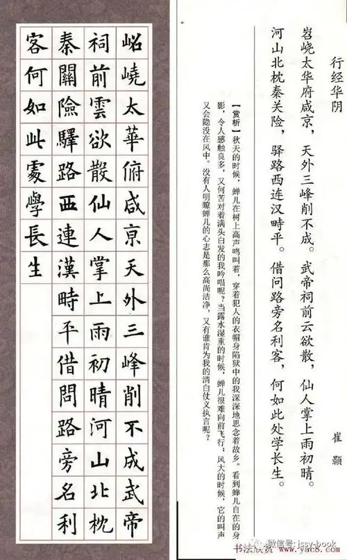
欧体集字七言律诗七首|欧阳询|虞世南|楷书|书法|薛稷_网易订阅
欧体楷书字帖欣赏:《欧阳询书法集字七言律诗七首》九宫格版,高清晰
欧体集字古诗七言绝句
书法创作对联欧阳询楷书集书房楹联18副
欧体楷书字帖七言绝句9首(高清大图)
书法欣赏欧体集字古诗七言绝句
欧体集字七言绝句
爱之绘·战疫情—畲乡景宁实验一小四年级《夜色》美术作品微展
吴磊小时候演的电视剧,是你的童年回忆吗?
审讯"江南案"主犯陈启礼
感恩父母的养育之恩句子
歌唱比赛蓝色海报背景
香格里拉吉他谱1
等风热吻你番外
许家印和老婆离婚了,恒大公司公司没有反驳,可能默认了,离婚的原因有
别墅围墙栏杆设计39
玫瑰少年琴谱
孙墨人《紫气东来》书法家协会会员
办公室