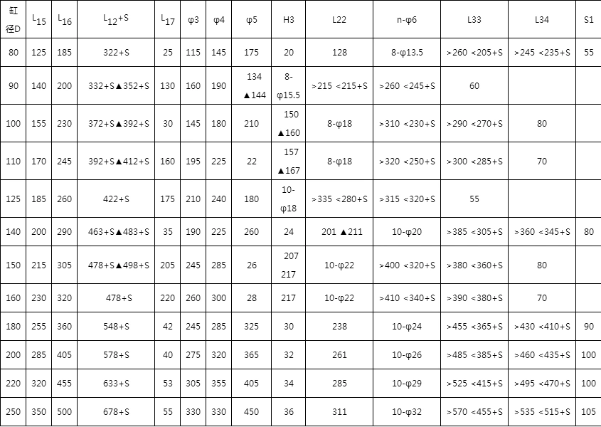
液压油缸尺寸表
油缸常用规格表_机械/仪表_工
标准油缸hob100*350*400/450/500/600/700系列重型油缸 液压油缸
批发供应youzheng圆型液压油缸rob30x100高压力-深圳市益国自动化科技
油缸常用规格表
厂家定做销售各型号液压油缸hsg hob mob 非标油缸
液压油缸尺寸表.doc
厂家直销工程机械专用旋转缸工程油缸hsg系列油缸保修一年
厂家供应hob拉杆液压油缸模具折弯机油缸工程小液压油缸定制
单耳环液压油缸安装尺寸
图文伙伴计划 一个纯真的微笑,一双含情脉脉的眼神,你还能走 - 抖音
情侣头像丨你是朝阳是晚霞是我的一切欢喜
最强人造神奇宝贝超梦有六种形态最罕见的异色超梦你见过吗
各种花边图案_文档下载
1一7岁儿童画 1一7岁儿童画建筑
大胸女生莫烦恼: 事情大了自然瞒不住 很多大胸女生穿衣打扮一直比较
奥迪 audi rs7-r 黑武士
的手抄报模板元旦手抄报怎么画简单又漂亮2020年元旦手抄报图片大全
主持人海霞,生活照12张,端庄文静,气质优雅,太美了
q版动漫可爱人物全身像
莫奈日落印象高清印制精致布画芯油画名画北卡罗来纳艺术博物馆藏
再买卧室门,我坚决不买"9种卧室门",不是矫情,而是教训