儿童创意绘画《小小发型师》 儿童画,创意美术,少儿美术绘画,简笔画
秋天发型师黑白线稿,彩色可打印.
涂鸦《小小理发师》
我是小小发型师
创意美术 小小发型师 小小发型师&手绘简笔画素材 【6】
美术活动《我是小小美发师》
创意美术课程《小小发型师》
自然美育《小小理发师》早教启蒙美术
发型师创意画
幼儿园创意手工-小小发型师
rmmmmmmm做的炒青菜
方管鱼嘴夹#护栏厂 #楼梯设计 #楼梯扶手 #房屋设计 #护栏厂家
巴黎春天客片|典雅の中式古装婚纱照
白色满天星花花束在白色背景.最小假日概念
「李到晛」gq korea 11月刊 拍摄花絮照
盘点各种女明星的露脐装,这7位女星一个比一个爱秀身材
中国风画盘子第一弹
组图王嘉尔发布巡演花絮写真穿黑色背心秀肌肉线条
淘宝压面机挂面全自动商用机面条多功能钢锈不高速立式一体机大型电动
【明日方舟】斯卡蒂人物壁纸特辑
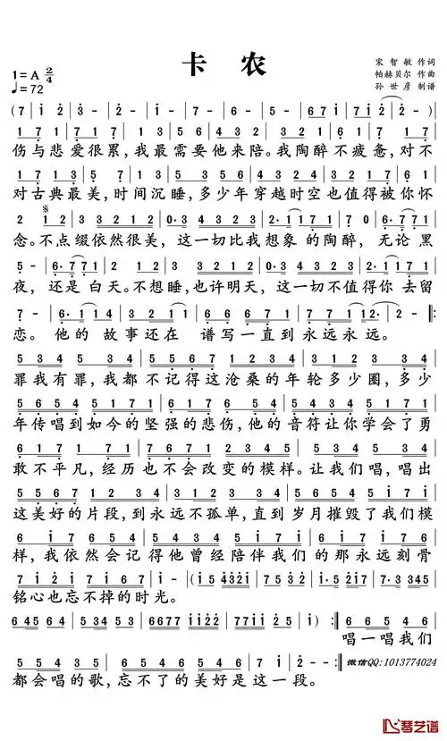
卡农简谱宋智敏演唱孙世彦制谱
妈妈这个角色,一边工作一边带孩子,白天忙了一天工作,下班要辅 - 抖音