关贵敏 - 艺术家简介 | 唱片星球
老歌唱家关贵敏
歌唱家关贵敏个人简历
中国歌唱家系列关贵敏青春啊青春
关贵敏的音乐专辑------著名歌唱家,号称中国高音之王
青春啊青春 电视剧《有一个青年》插曲 歌手:关贵敏 词曲:关贵敏 青春
全新未拆封中国歌唱家系列之关贵敏《青春啊青春》
关贵敏独唱专辑春天的琴声
二十世纪中华歌坛名人百集珍藏版:关贵敏(cd)
139品99陈晓东风一样的男子¥869品99关贵敏青春啊青春¥679品
稀少世界名曲精选样品碟
关贵敏《青春啊 青春》(中国歌唱家系列)1988年磁带转录 [wav cue]
highschoolloveon78
八仙原来是男女老少贫贱富贵的真实写照
(历史事件)
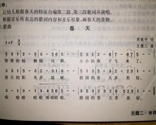
歌曲春天
月亮河边的孩子 歌谱 简谱
热气腾腾的三餐 #笔记灵感 #绘画97番茄炒蛋做法:11566番茄
维多利亚的秘密2005-时装秀-性感魅影
日系夏日唯美街道风景高清桌面壁纸
pt950铂金美国进口d色莫桑石满钻公主方钻戒指纯银10克拉钻戒指环
长兴紫笋农家乐图片
杨采钰气质女神范,一套米黄色的西装内搭白色t恤,干练时尚
最近快手很火的句子说说大全(最近快手很火的句子说说大全伤感)