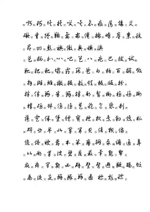
《三千五百字草书对照表》.
3500个常用汉字草书写法对照按拼音字母顺序排列
草书常用字
草书写法对照表,草书爱好者必收藏!
史上最全草书对照书谱,习草者必备!
我想要百家姓草书字贴,请朋友帮忙给复制一封
草书对照表,收藏备用
邓散木草书写法对照表
草书楷字对照表
草书字体查询草楷对照表
汉字草书的那些事儿,《汉字草书对照表》!
石榴花
棉香佰年儿童白袜子无骨纯棉女孩中筒袜小学生棉袜春秋款袜子男童
有趣的卡通胖嘟嘟怪物
【刘亦菲|宋承宪】是爱还是贪欲
q版十二生肖
变形金刚:阿尔茜被演,红蜘蛛是影帝啊!网友太年轻了!
著名画家夏俊波先生油画作品欣赏
李嘉欣是我心目中的地球球花
千年冰洞走一
动画电影《里约大冒险2》电脑桌面壁纸
大一班主题活动父爱如山
王莉|歌剧|声乐|刘和刚|音乐剧