甘南川北游(5):九寨沟长海,让我们相遇今年的第一场雪
冬游雪景九寨沟美到你怀疑人生
2021年3月20日,四川阿坝,时值二十四节气的春分,九寨沟景区迎来一场
分享图片九寨沟的雪景
「九寨沟」赏唯美雪景,观蓝冰诱惑,带你走进人间仙境
云雾缭绕,把九寨沟妆点更加分外妖娆,雪景雾凇飞瀑映衬宝石般的湖水真
四川阿坝九寨沟迎降温天气呈现半山冬景半山春景
九寨沟的雪!
四川九寨沟迎降温天气呈现半山冬景半山春景
四川九寨沟迎春雪 蓝白呼应造就梦幻冰雪世界
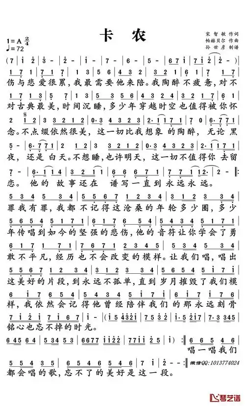
卡农简谱宋智敏演唱孙世彦制谱
恋爱通告宋晓青by刘亦菲
最近完成的地藏王菩萨和坐骑谛听
漫说监狱民警的一天
原创大多宇航员回来后为何都对所见绝口不提甚至直言自己很恐惧
长步道工业光学| fa0802d常规 fa工业镜头3分之25mp
最近食量都减少了 每天晚上饿的前胸贴后背期待第二天称体重有惊喜
吉祥如意九鱼图
个人简历社会实践经历怎么写.docx 3页
【多肉精灵の小红衣】q版人物绘-头像·手机高清壁纸·电脑高清壁纸
清爽干净的小清新清凉女生头像最新版 2022最火爆夏天风女头合集
图穷匕见的主人公是谁荆轲文才武略无所不通的人物