二年级语文上册第10课《日月潭》(部编版)
二年级语文上册 第四单元(10)日月潭
二年级语文上册, 第10课《日月潭》, 彩色板书 思维导图 - 抖音
课文 第十课 日月潭 - 二年级上册(新) - 智慧山
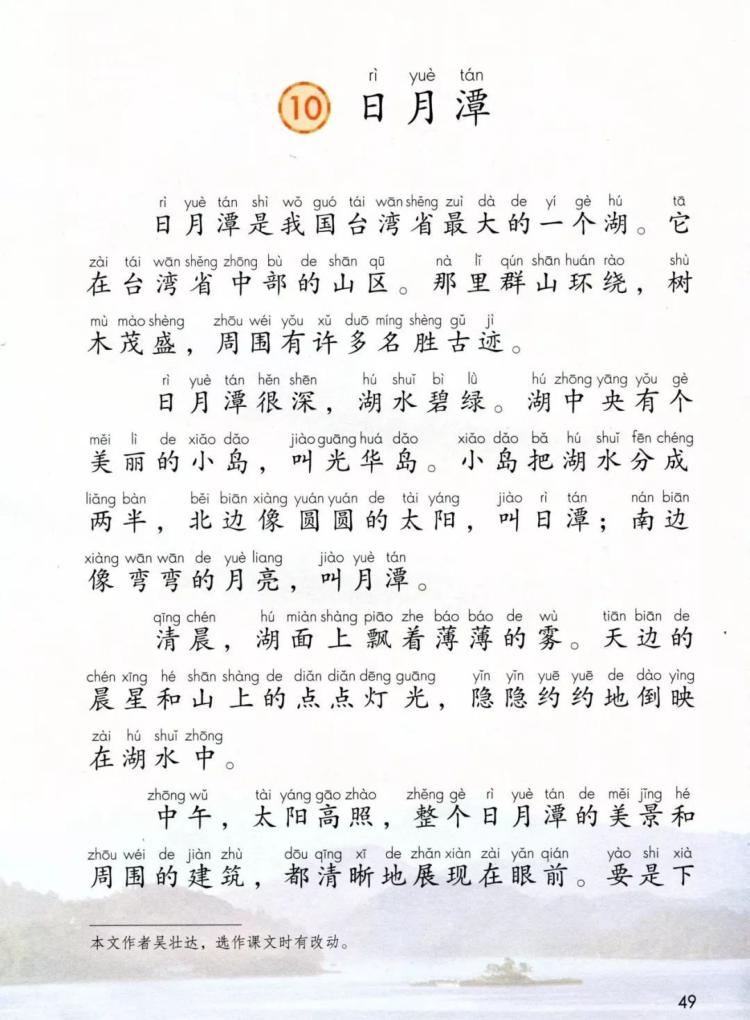
课文(日月潭)
日月潭注音版二年级阅读课外书阅读经典书目正版小学统编语文教材配套
表达了作者对日月潭的
日月潭_小学二年级语文在线听_历史-喜马拉雅fm
【可可妈妈讲故事-第173期】部编版二上语文(10):日月潭
语文二上《日月潭》预习 笔记
王清煜在家背诵(日月潭),阅读(周总理看演出)(西游记雷音寺三),练习
二年级语文上册日月潭预习复习
石桌石凳
超好看的头像女生可爱高清20岁女生可爱头像漂亮图片
箭头设计图__psd分层素材_psd分层素材_设计图库_昵图网nipic.com
王者荣耀兰陵王
墨道 新中式实木架子床
小耳朵,纤飞成功牵手,组建战略合作伙伴
白天996深夜健身房大厂年轻人的昼与夜
纸箱玩具幼儿园作业儿童益智手工手工制制作小房子儿童帐篷
90年代,电视机这个新奇的产物,走进了平民百姓家,成为了当时结婚必备
初音未来简笔画
在户外的冬天相爱的夫妇
现在英语j的小写手写体占几个格子?